На нашем сайте много информации об экономическом состоянии БЖД. И достаточно, чтобы четко понимать, что в цивилизованной экономике БЖД много лет назад прошла бы процедуру банкротства* и возродилась бы в новом эффективном качестве. Отметим, что в цивилизованной экономике банкротство — это не разорение, а скорее способ его избежать. Другой путь — своевременные реформы. Но это не для «великих руководителей».
В Беларуси согласно Закону Республики Беларусь от 13.07.2012 №415-З «Об экономической несостоятельности (банкротстве)» банкротство — неплатежеспособность, имеющая или приобретающая устойчивый характер, признанная решением хозяйственного суда о банкротстве с ликвидацией должника, а неплатежеспособность — неспособность в полном объеме удовлетворить требования кредитора (кредиторов) по платежным обязательствам, а также по обязательствам, вытекающим из трудовых и связанных с ними отношений.
А теперь взглянем на финансовые обязательства (долги) БЖД за последние десять лет, а также на ее платежеспособность.
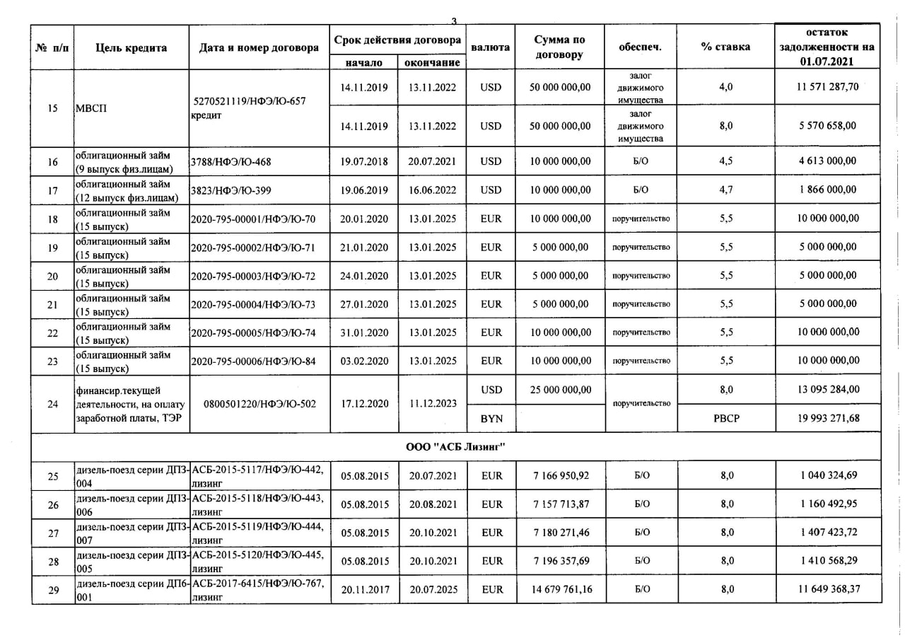
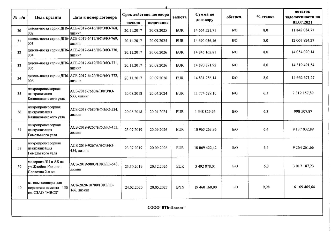
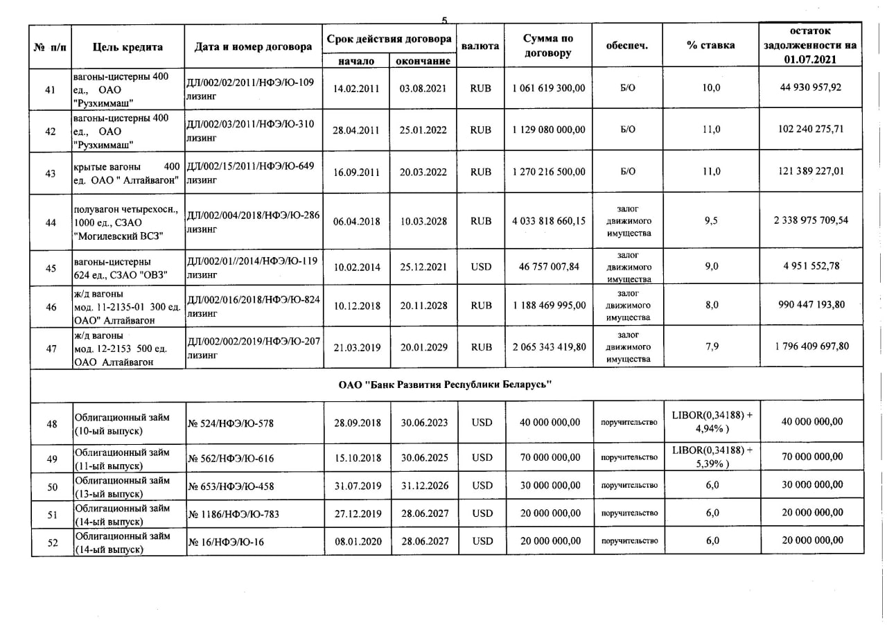
Долги БЖД за десять лет в долларовом эквиваленте остаются приблизительно на неизменном уровне, но с некоторой тенденцией роста главного показателя — долгосрочных обязательств (это крупные кредиты и займы, в основном на инфраструктурные проекты и приобретение подвижного состава). По сути, все эти годы БЖД для погашения кредитов приобретает новые займы для расчетов по старым.
Сами по себе долги — это нормально. Кредиты и займы позволяют развиваться технически и технологически, а также обеспечивать текущую деятельность. Вопрос в том, способна ли БЖД их уплатить и обслуживать. Как видим, нет. Так как БЖД неплатежеспособна.
Согласно законодательству Беларуси**, для оценки платежеспособности субъектов хозяйствования используются соответствующие коэффициенты: коэффициент текущей ликвидности, характеризующий общую обеспеченность субъекта хозяйствования краткосрочными активами для погашения краткосрочных обязательств (у БЖД в 2023 году 0,79 — 0,85 при нормативе не менее 1,15); коэффициент обеспеченности собственными оборотными средствами, характеризующий наличие у субъекта хозяйствования собственных оборотных средств, необходимых для его финансовой устойчивости (минус 0,27 — минус 0,18 при нормативе не менее 0,15); коэффициент обеспеченности обязательств активами, характеризующий способность субъекта хозяйствования рассчитываться по своим обязательствам (0,48 — 0,45 при нормативе менее 0,85). Мы это показывали. При этом отметим, что десять последних лет ситуация с платежеспособностью БЖД также неизменна.
Также все эти годы БЖД выплачивала огромные проценты за кредиты, различные пени и неустойки, в основном за счет новых займов. Зарабатываемого БЖД периодически не хватает даже для выплаты зарплаты и решают это новыми краткосрочными заимствованиями. Иными словами, это работа не на прибыль, а на кредиторов. Подтверждением этого еще и снижение инвестиций в последние годы, а также в планах БЖД на ближайшие.
К сожалению, мы вынуждены вновь повторить — причина этого безобразия в бездарном руководстве БЖД и такой же экономической политике руководства страны. Ведь признай хоть кто-либо из них факт несостоятельности БЖД, вся пропаганда процветания рухнет. Банкротство и совершенствование БЖД произошло бы и без таких «руководителей» самостоятельно, по законам рынка, при наличии в стране независимых от власти судебной или банковской систем. Но избежать подобного любой ценой, ради «теплых кресел», а не транслируемой заботе о гражданах — единственная истинная цель захвативших власть. Хуже только то, что есть граждане не знающие либо не желающие знать правду, занимая «страусиную» позицию.
* Банкротство (несостоятельность) — неспособность должника (гражданина, организации или государства) удовлетворить в полном объёме требования кредиторов по денежным обязательствам и (или) исполнить обязанность по уплате обязательных государственных платежей. Под банкротством также понимается процедура, применяемая по отношению к должнику, направленная на оценку его финансового состояния и выработку мер по улучшению финансового состояния должника. В случае, если применение таких мер будет признано нецелесообразным или невозможным — на наиболее равное и справедливое удовлетворение интересов кредиторов несостоятельного должника
** постановление правительства от 12.12.2011 №1672 «Об определении критериев оценки платежеспособности субъектов хозяйствования»










